題組內容
一、下表為隨機抽取全臺 30 處茶園所生產的某一品種之茶葉資料,包括該茶 園所在的區域(標示為 1、2、3) 、茶葉每 10 公克價格(單位:新臺幣元) 及由茶葉的特性綜合計算而得之兩種因素(甲、乙)分數。

「總和」與「總平方和」表示該變數之值的加總及取平方後之加總。 定義區域 之指標變數如下:
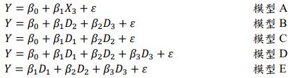
以茶葉每 10 公克之價格為反應變數,考慮迴歸模型如下: 
ε為隨機誤差項。
一、下表為隨機抽取全臺 30 處茶園所生產的某一品種之茶葉資料,包括該茶 園所在的區域(標示為 1、2、3) 、茶葉每 10 公克價格(單位:新臺幣元) 及由茶葉的特性綜合計算而得之兩種因素(甲、乙)分數。

「總和」與「總平方和」表示該變數之值的加總及取平方後之加總。 定義區域 之指標變數如下:
以茶葉每 10 公克之價格為反應變數,考慮迴歸模型如下: 
ε為隨機誤差項。