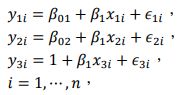
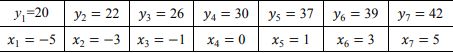
⑴下表為給定 4 種不同迴歸模式來配適 13 組資料 ( yi , xi1 , xi 2 , xi 3 ) , i=1,⋯,13,所得的 AIC(Akaike’s information criterion,赤池訊息 標準)值。 
其中X
ij為解釋變數X
j 的資料值, j= 1,2,3,隨機誤差 ,

, 為彼 此獨立,期望值為0,變異數皆為 的常態分配。請完成此表並利 用 AIC 及 BIC(Bayesian information criterion,貝氏訊息標準)來 選取最適合的模式。(log(a)為數字 a 的自然對數值,log(2)=0.69, log(3)=1.1,log(4)=1.39,log(9)=2.2,log(10)=2.3,log(13)=2.56)。 (10 分)