題組內容
三、某跨國企業 A 公司其資料科學家利用下列複迴歸模式
來分析該公司一產品的銷售額變化量和該公司此產品價格變化量與
競爭對手 B 公司其相對競爭產品價格變化量的關係,其中 為 A 公
司在第 個地區的銷售額變化量, xi為 A 公司的產品在第 個地區的價
格變化量, zi為 B 公司的競爭產品在第 個地區的價格變化量,而隨
機誤差
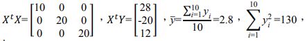
, 為彼此獨立,期望值為0,且變異數皆為σ2 的常態分配。給定銷售額變化量y1 , ⋯ , y10及下列解釋變數矩陣 X 與反應變數
向量 Y 的相關資訊:
其中
以及 Xt為矩陣 的轉置矩陣。
來分析該公司一產品的銷售額變化量和該公司此產品價格變化量與
競爭對手 B 公司其相對競爭產品價格變化量的關係,其中 為 A 公
司在第 個地區的銷售額變化量, xi為 A 公司的產品在第 個地區的價
格變化量, zi為 B 公司的競爭產品在第 個地區的價格變化量,而隨
機誤差
, 為彼此獨立,期望值為0,且變異數皆為σ2 的常態分配。給定銷售額變化量y1 , ⋯ , y10及下列解釋變數矩陣 X 與反應變數
向量 Y 的相關資訊:
其中
以及 Xt為矩陣 的轉置矩陣。
⑴計算判定係數(coefficient of determination)
,其中
是 觀察值 y1,y2 , ⋯ , 與配適值(fitted values)
的相關 係數(coefficient of correlation)。(8 分)