題組內容
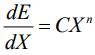
三、以電動中耕機從事農事工作是可以以半試驗法來進行其消耗功率或續航力的評估。假設農事操作的功率消耗模式為:
上式 E 為消耗功率(kW),X 為作業深度(cm) (假設不考慮空轉的能耗)
(二)經實驗得電動中耕機農事操作的功率消耗模式之 n = -0.5,挖 10 cm 土深可挖 30 分鐘,則挖 20 cm 土深可以挖多久?(20 分)
三、以電動中耕機從事農事工作是可以以半試驗法來進行其消耗功率或續航力的評估。假設農事操作的功率消耗模式為:
上式 E 為消耗功率(kW),X 為作業深度(cm) (假設不考慮空轉的能耗)
(二)經實驗得電動中耕機農事操作的功率消耗模式之 n = -0.5,挖 10 cm 土深可挖 30 分鐘,則挖 20 cm 土深可以挖多久?(20 分)