題組內容
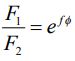
四、皮帶輪與皮帶面之摩擦係數 f = 0.25,皮帶緊邊張力 F1 與鬆邊張力 F2 之比為
,其中
為皮帶包含角(以rad為單位),忽略離心力造成之皮帶張力,使用張力上緊機構使鬆邊有預張力,以及使大皮帶輪的包含角
= 135°,大皮帶輪半徑150 mm,當輸出扭矩 T = 20 N‧m 時,求:
四、皮帶輪與皮帶面之摩擦係數 f = 0.25,皮帶緊邊張力 F1 與鬆邊張力 F2 之比為
,其中
為皮帶包含角(以rad為單位),忽略離心力造成之皮帶張力,使用張力上緊機構使鬆邊有預張力,以及使大皮帶輪的包含角
= 135°,大皮帶輪半徑150 mm,當輸出扭矩 T = 20 N‧m 時,求: