題組內容
五、考慮一個具有 N 台火力發電機組的電力系統,如圖 4 所示。
針對整個系統,假設所有機組的總燃料成本函數 F(單位:$/hr)為:

其中個別機組之燃料成本($/hr)分別為 f1, f2,…, fN。所有發電機組輸入 至電網的功率(MW)總和為:
其中
是個別機組注入電網的輸出功率(MW)。系統的總 燃料成本 F 是所有電廠輸出的函數,電力平衡方程式為:

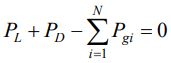
其中
為系統總負載需求,而
為該系統的輸電損失且為各發電機輸出 功率的二次函數。針對固定的系統負載需求
,以電力平衡限制為條件。