題組內容
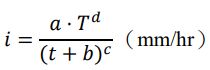
三、某地區進行降雨強度-延時-頻率(IDF)分析,不同重現期的降雨強度公 式如下: 
其中I為降雨強度,T 為重現期(年) , 為降雨延時(分鐘) , a= 1200,b = 25, c= 0.8, d= 0.25。
該地區某一道路排水系統集水區面積 12 公頃、集流時間 25 分鐘、逕流係數 0.90、設計重現期為 10 年。
(二)若該排水系統設計流量為 2.4 cms,反推該流量對應的重現期(年)為何?(15 分)
三、某地區進行降雨強度-延時-頻率(IDF)分析,不同重現期的降雨強度公 式如下: 
其中I為降雨強度,T 為重現期(年) , 為降雨延時(分鐘) , a= 1200,b = 25, c= 0.8, d= 0.25。
該地區某一道路排水系統集水區面積 12 公頃、集流時間 25 分鐘、逕流係數 0.90、設計重現期為 10 年。
(二)若該排水系統設計流量為 2.4 cms,反推該流量對應的重現期(年)為何?(15 分)