題組內容
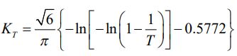
五、根據某特定河川過去 100 年之洪水資料,可計算出該河川之平均年洪水量為 6,800 m3/sec,且其標準偏差為 1,600 m3/sec,假設此河川流量適合極端值第一型分布(extreme value type I distribution) 。 ( 極端值第一型分布之頻率因子 KT ( frequency factor ) 可表示為:
,其中,T為重現期,
稱為頻率因子)
五、根據某特定河川過去 100 年之洪水資料,可計算出該河川之平均年洪水量為 6,800 m3/sec,且其標準偏差為 1,600 m3/sec,假設此河川流量適合極端值第一型分布(extreme value type I distribution) 。 ( 極端值第一型分布之頻率因子 KT ( frequency factor ) 可表示為:
,其中,T為重現期,
稱為頻率因子)