阿摩線上測驗 登入

申論題資訊

試卷:114年 - 114 高等考試_二級_電力工程:電力電子#131608
科目:電力電子學
年份:114年
排序:0

題組內容

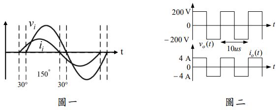
一、某電力轉換器電路,其輸入電壓、輸入電流波形如圖一所示,其輸出電壓、輸出電流波形如圖二所示。其中輸入電壓峰值為 150 V,輸入電流峰值為A 。

申論題內容

(五)如何提高輸入側功率因數,而不改變轉換器輸入電流波形?