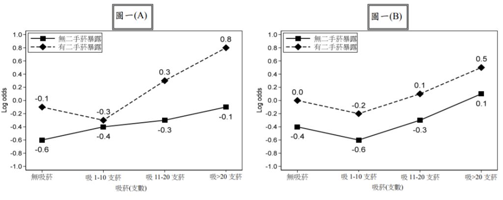
題組內容
一、研究吸菸與二手菸暴露對氣喘作用的病例對照,研究結果顯示於圖一
(A)與圖一(B)。吸菸暴露分類為:無吸菸、每日吸 1-10 支菸、每日
吸 11-20 支菸、每日吸>20 支菸;二手菸暴露分類為:無暴露、有暴露。
研究人員使用(0, 1)之指標變數譯碼二個暴露變數,並以邏輯斯迴歸
模式(logistic regression model)分析研究資料。圖一(A)為飽和模型
(saturated model),圖一(B)為主效應模型(main effect model)。若危
險對比值為 OR(odds ratio),回答下列問題: