阿摩線上測驗
登入
首頁
>
教甄◆數學
>
111年 - 111 國立中央大學附屬中壢高級中學第1次教師甄選:數學科#108189
> 申論題
題組內容
二、計算證明題:
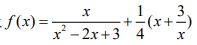
1. 設
,其中 x > 0 ,
試求:
(2)此時的 x 是多少?
相關申論題
1. 試求級數 之和為______。
#464058
2. 假設四次多項式 f ( x) = 3x4 + 4x3 − 12x2 − 1 ,則方程式 f ( f ( x)) = 0 有______個相異實根。
#464059
3. 已知直角 ABC 中, ∠C = 90° , = 18 ,且過 A 點的中線為 L1 : x + y = 0 ,而過 B 點的中線為 L2 : x + 3 y = 0 , 試求此 ABC 的面積為______。
#464060
4. 設六邊形 ABCDEF ,六個內角皆相等,且= 2 、 = 4 、 = 6 、 = 4 ,求 =_______
#464061
5. 已知 ABC ,角 A、B、C 的對邊長分別為 a 、 b 、 c ,若 |b − c|cos = 8√3 、 (b + c)sin = 13 ,則 a =_______ 。
#464062
6. 已知下圖中為正八面體,若平面 ADE 方程式為 x + y + z + 4 = 0 ,平面 BCF 方程式為 x + y + z − 2 = 0 ,則此正八面體的體積為_______ 。
#464063
7. 空間中有一直圓錐(如下圖),已知其高 所在的直線方程式為 , 以及直圓錐側面上兩點 P(3,0,5) 、 Q(11, −9, −18) ,則直圓錐的頂點 A 坐標為_______ 。
#464064
8. 矩陣 ,若有兩矩陣 P、Q 且滿足 ,且 A4 = aP + bQ ,試求為 _______ 。
#464065
9. 設 ( x, y) 為圓 ( x + 2)2 + ( y − 2)2 = 8 上的動點(但不包含原點),則所有在複數平面中滿足 的 軌跡方程式為_______ 。
#464066
10.如圖, ABC 是邊長為 1 的正三角形,甲、乙、丙分別自 A 、 B 、 C 同時出發, 沿三角形的邊,順時針方向移動,三人各擲一硬幣,出現正面,則移動 2 個單位, 出現反面,則移動 1 個單位,硬幣各擲 5 次,求三人最後在同一位置的機率為_______ 。
#464067
相關試卷
115年 - 115-1 臺北市立南湖高級中學_正式教師甄選試題:數學科#139253
115年 · #139253
115年 - 115 國立屏東大學_各師資類科教育學程甄選試題:數學#139246
115年 · #139246
115年 - 115 臺北市立陽明高級中學正式教師甄選試題:高中數學科#139228
115年 · #139228
115年 - 115 新北市公立高級中等學校_教師聯合甄選試題:數學科#139227
115年 · #139227
115年 - 115 臺北市立內湖高級工業職業學校_正式教師甄試:數學科#139221
115年 · #139221
115年 - 115 桃園市立陽明高中_教師甄選試題:數學科#139018
115年 · #139018
115年 - 115 國立高科實驗高級中等學校_專任教師甄選_國小部:普通科(數學)#138942
115年 · #138942
115年 - 115-1 國立彰化女子高級中學_教師甄選試題:數學科#138761
115年 · #138761
115年 - 115-1 臺中市立文華高級中等學校_教師甄選專業知能試題:數學科#138727
115年 · #138727
115年 - 115-2 台北市立建國高級中學_正式教師甄選試題:數學科#138704
115年 · #138704