所屬科目:教甄◆數學
1. 試求級數 之和為______。
3. 已知直角 ABC 中, ∠C = 90° , = 18 ,且過 A 點的中線為 L1 : x + y = 0 ,而過 B 點的中線為 L2 : x + 3 y = 0 , 試求此 ABC 的面積為______。
4. 設六邊形 ABCDEF ,六個內角皆相等,且= 2 、 = 4 、 = 6 、 = 4 ,求 =_______
5. 已知 ABC ,角 A、B、C 的對邊長分別為 a 、 b 、 c ,若 |b − c|cos = 8√3 、 (b + c)sin = 13 ,則 a =_______ 。
6. 已知下圖中為正八面體,若平面 ADE 方程式為 x + y + z + 4 = 0 ,平面 BCF 方程式為 x + y + z − 2 = 0 ,則此正八面體的體積為_______ 。
7. 空間中有一直圓錐(如下圖),已知其高 所在的直線方程式為 , 以及直圓錐側面上兩點 P(3,0,5) 、 Q(11, −9, −18) ,則直圓錐的頂點 A 坐標為_______ 。
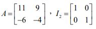
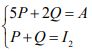
8. 矩陣 ,若有兩矩陣 P、Q 且滿足 ,且 A4 = aP + bQ ,試求為 _______ 。
9. 設 ( x, y) 為圓 ( x + 2)2 + ( y − 2)2 = 8 上的動點(但不包含原點),則所有在複數平面中滿足 的 軌跡方程式為_______ 。
10.如圖, ABC 是邊長為 1 的正三角形,甲、乙、丙分別自 A 、 B 、 C 同時出發, 沿三角形的邊,順時針方向移動,三人各擲一硬幣,出現正面,則移動 2 個單位, 出現反面,則移動 1 個單位,硬幣各擲 5 次,求三人最後在同一位置的機率為_______ 。
(1) R 繞 x 軸旋轉一圈所得旋轉體體積 = ?
(2) R 繞 y 軸旋轉一圈所得旋轉體體積 = ?