所屬科目:教甄◆數學
1. 化簡=?(A) 3 (B) 4 (C) (D)
2. 估算 0.99750到小數點後兩位=?(A) 0.84 (B) 0.85 (C) 0.86 (D) 0.87
3. 令函數f(x) = ,下列哪一個選項最符合f(x)在x = 0時的敘述?(A) 不連續 (B) 連續但不可微分 (C) 連續且可微分 (D) 不連續且不可微分
4. 在直角三角形 ABC 中,直角在 A 點且 = 2、= 4。點 P 在邊 BC 上,它是∠BAC 的角平分線與邊 BC 交點。 求點 P 到邊 AC 的距離? (A) (B) (C) (D)
5. 三角形 ABC 滿足=13、=14 和=15。一個半徑為 R 的半圓,其圓心在邊 BC 上,並且與邊 AB 和 AC 相切。計算 R 的值最靠近下列哪個整數?(A) 5 (B) 6 (C) 7 (D) 8
6. 令 k 為自然數,求 10k 除以 13 的餘數有多少種?(A) 4 (B) 5 (C) 6 (D) 7
7. 求 =?(A)(B)(C) 1 (D) 2
8. 設r1、r2是的兩個平方根,求r1 − r2可能是?(A) (B) (C) 0 (D) 2
9. 下列有關 a=-log1014.4,b=-log100.4,c=-log104.4 三數的大小關係,試選出正確的選項。(A) a > b > c (B) a > c > b (C) b > a > c (D) b > c > a
10. 若 a = ,試選出 a,b,c 的大小關係。(A) c < b < a (B) a < b < c (C) b < c < a (D) c < a < b
11. 已知多項式f(x) =x + 1,則g(x) = [f(x)]2⋅ (f(x) + 1)的次數為何?(A) 8 (B) 9 (C) 10 (D) 12
12. 下列各函數圖形中,何者週期最小?(A) y = cos(B) y = sin 3x (C) y = −2 cos x (D) y = cos x + | cos x |
13. 令 a=2.17-2.16,b=2.16-2.15,c=。請選出正確的大小關係?(A) a>c>b (B) c>b>a (C) b>a>c (D) b>c>a
14. △ ABC中,邊長BC = 12,且三角形的另外兩內角∠B = 85°,∠C = 35°,求此三角形的外接圓半徑為何?(A)6 (B)12 (C)(D)
15. 已知三角函數值cos(2θ − 30° ) , cos(2θ) , cos(2θ + 30° )依序成為一個等差數列,試問0 ° < θ < 180°時有幾個不同的解? (A) 1 個 (B) 2 個 (C) 3 個 (D) 4 個
16. 某研究團隊設計一台小型繪圖機器人,能依據標記點畫出封閉圖形。下列是地面上記錄的四個標記點:(0, 0)、(2, 3)、 (4, -1)、(1, -3)。若任選三點組成一個三角形,請問該機器人可畫出最大的三角形面積是多少? (A) 7 (B)8 (C)9 (D) 10
17. 如圖(一),A 為長和寬分別為 4 和 2 的矩形,B 為 A 之外接矩形(矩形 A 的四個頂點位於矩形 B 的邊上), 則矩形 B 最大面積為何?(A) 15 (B) 16 (C) 17 (D) 18
18. 設 a、b、c 為實數,若二次函數 f (x)=ax2 + bx + c 的圖形通過(0, −1)且與 x 軸相切。有關此二次函數各項係數的性質或關係,五位學生提出說明如下:甲生:a < 0 乙生:b > 0 丙生:c = −1丁生:b2 + 4ac = 0 戊生:a + b + c ≤ 0請問:以上誰的說明正確?(A)只有甲、乙和丁 (B)只有甲、乙和戊(C)只有甲、丙和戊 (D)只有乙、丙和丁
19. 「排數卡算總和」。小明利用數字卡 1,2,3,4 排出不同的四位數,並將所有組成的四位數相加,求得總和。若將總和以 5 除之,求其商為何? (A) 2 (B) 4 (C) 6666 (D) 13332
20. 如圖(二), 若△OBE 的面積為 5,△OBC 的面積為 10,△OCD 的面積為 8,試求四邊形 AEOD 的面積為何?(A) 20 (B) 21 (C) 22 (D) 24
21. 所有內角的度數皆為相異正整數的凸 n 邊形,求 n 的最大值為何?(A) 25 (B) 26 (C) 27 (D) 28
22. 若 a、c、d 為整數,b 為正整數,且滿足 a + b = c,b +c =d,c + d =a。求 a+ b+c+ d 的最大值為何?(A) −5 (B) −1 (C) 0 (D) 1
23. 若 25x=2000,80y =2000,求 之值為何?(A) (B) 1 (C)(D) 2
24. 數學上著名的「費波那契數列」(Fibonacci Sequence)是以義大利數學家 Leonardo Pisano 的暱稱 Fibonacci 命名,它是 由一連串數字組成,其中,每個數字等於前兩個數字的和(an = an−1 + an−2)。大雄仿照「費波那契數列」的部分規 則,寫了一個滿足「an = an−1 + an−2,其中n ≥ 3,且a5 = 59」的整數遞增數列a1, a2, a3, … …。請問:a1最大可能值 為何? (A) 7 (B) 10 (C) 11 (D) 12
25. 若 ( a,b) 為對數函數 y = log2x 圖形上的一點,則下列選項何者正確? (A) ( a-1,b ) 為函數y = log2( x-1) 圖形上的一點 (B) ( b+1,a ) 為函數 y=2x+1圖形上的一點 (C) (2a , b) 為函數 y x = (log2x ) -1 圖形上的一點 (D) (b-1 ,a ) 為函數y=2-x圖形上的一點
26. 已知聯立不等式之解的範圍為下圖(三)灰色三角形區域,則下列選項何者正確?(A) a >0 (B) b> 0 (C) c> 0 (D) de> 0
27. 設 f(x) 為首項係數為正的三次實係數多項式,並且滿足 f (1+2i ) =f(1 +) =0 ,其中 i = ,則下列選項中的敘 述,何者正確? (A) f (0)< 0 (B) (C) f (x)=3沒有實數解 (D) y=f(x ) 的圖形與 x 軸至少有 2 個交點
28. 設函數,則下列選項中的敘述,何者正確?(A)f(x )是週期函數且週期為2π(B)f(x)的振幅是(C)y=f(x)的圖形和x軸有無限多個交點(D)f(x)的最大值是
29. 設複數 ,其中 r >0、0 ≤θ<2π ,則 θ 之值為何?(A)(B)(C)(D)
30. 設 x 為整數,且無窮數列收斂,則滿足條件的 x 有幾個?(A) 13 (B) 14 (C) 15 (D) 16
31. 設 ,則 f'(x) = ? (A)(B) (C)(D)
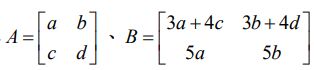
32. 設矩陣且det( A )=6,則det( B ) =?(A) −2400(B) −360(C) −120(D) 120
33. 已知三條直線 L1:x + (2 − m)y + 3 = 0,L2:x + 2y + (3 − m) = 0 和L3:(1 − m)x + 2y + 3 = 0,若此三直線共同交於同一點,則 m =?(A) 3 (B) 6 (C) 9 (D) 10
34. 已知 A(a , b) 為圓 x2 + y2 = 1 上的一點,試求的最小值為何? (A) 36 (B) 40 (C) 49 (D) 54
35. 烘焙課中,學生需從主食材區選 2 種材料(雞蛋、牛奶、麵粉、堅果、蜂蜜),並從配料區選 3 種配料(巧克力酒、蘭姆葡萄乾、草莓乾、椰子絲、香蕉片、花生醬)。其中,巧克力酒與蘭姆葡萄乾含酒精。若學生選擇的材料中同時包 含「堅果」與任一含酒精配料,則會引發過敏反應。試問學生隨機選擇材料時,發生過敏的機率為何? (A) (B)(C) (D)
36. 快樂旅行社推出一項高額旅遊保險,旅客支付 2400 元即可投保,若在旅遊期間不幸發生意外身故,則可獲得1200 萬元理賠金。根據統計資料顯示,旅客於旅程中發生致命意外的機率為 0.0001。試問對旅行社而言,每張保單的期望利潤為多少?(A) 400 (B) 800 (C) 1200 (D) 1600
37. 整數 96 的所有正因數的乘積為何?(A) 918 (B) 9 27 (C) 939 (D) 942
38. 試求三向量 = (1, −1, 3) = (2, 1, 0),= (4, −1, 4) 所張開的平行六面體體積為何?(A) 6 (B) 10 (C) 12 (D) 24
39.試求= ?(其中[x]表示高斯符號)(A) 465 (B) 489 (C) 503 (D) 519
40. 若平面區域 (x − 2) 2 + y2 ≤ 4 繞 y 軸旋轉一周後形成旋轉體,則該體積為何? (A) 4π2 (B) 8π 2 (C) 16π2 (D) 32π2