所屬科目:教甄◆數學
1. 已知 ,求方程式之所有實根總和為______。
2. 設圓C:(x-6)2+(y-4)2=4,今有一質點自點P(2,2) 發射,射向 x 軸上之 Q 點後反射恰可碰觸到圓 C , 則 Q 點在 x 軸上所有可能的位置所構成的區間長度為______。
3. x∈R,[x] 表高斯符號,若 [x]+[4x]=6,則 x 的範圍為______。
4. 方程式|x|+3|y|=6 的圖形為Γ,則將Γ上任一點(a,b) 變換成(a',b')=(5a+2b-1,a-b+4) 得圖形 Γ', 則 Γ' 的面積為______。
5. 小明有 5 隻牛、4 隻豬及 7 隻馬玩偶,則她將這 16 隻不同的玩偶配對,每對的動物種類不同,則共有 ______種配對方法。
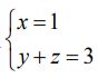
6. 已知平面,且兩直線在平面E上的投影恰為一直線,則平面E的方程式為______。
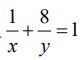
7. 若a,b∈ ,則有______組數對 (a ,b) 滿足。
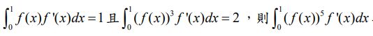
8. 若 f( x) 為一實係數多項函數,已之值為 ______。
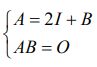
9. 設 A,B 為非零二階方陣,I 表示二階的單位矩陣,O 表二階的零矩陣,滿足 ,若 (A+I)8=kA+I , 其中 k 為實數,則 k = ______。
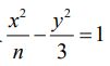
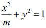
10. 已知橢圓(m > 1)和雙曲線(n > 0)有相同的兩個焦點 F1,F2,P 點是它們的一 個交點,則tan∠F1PF2 = ______。
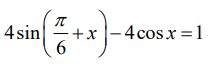
11. 若 max{ p,q } 代表 p,q中較大的數, min{ p,q } 代表p,q中較小的數,則方程式:
12. 若 S 是 {1,2,3,4, ,2025} 的一個子集,且 S 中任兩個元素皆非相差 2,也非相差 7,則 S 個數的最大值 為______。
13. 右圖是動物園新建立的大型鳥籠,其建立方式如下:在一個邊長為 10 公尺的正方形平臺上,立起兩支以底面對角線為直徑的半圓形鋼架,落腳點就在平臺的四個頂點上;而半圓形鋼架的交點 H 在底面(邊長 10 公尺的正方形) 中心點 O 的正上方,即線段 OH 垂直底面;然後在鋼架上張起鐵絲網,使得每個平行底面的鐵絲網都是頂點落在鋼架上的正方形。此鳥籠的容積為______立方公尺。
14. 已知實數 x y, 滿足,則 (x-1)2+ (y-8)2的最小值為______。
15. 兩圓 O1、O2 均通過△ABC 的頂點 A ,且分別與邊相切於 B 點及 C 點,若圓 O1 、圓 O2 的面積分別為 m 和 n ,則以 m 和 n 表示 △ABC 的外接圓面積為______。
二、計算題(10 分,需有計算過程,否則不予計分)四邊形 ABCD 中, ,∠C=90° ,點 P 在 上,點 Q 在 上, 若平分四邊形 ABCD 的面積,則的最小值為何?