所屬科目:教甄◆數學
1.設 z 為複數,若,求(A)√3(B)-1(C)0(D)1
2.求之正整數解有幾個? (A) 5 (B) 6 (C) 7 (D) 8
3.設正整數 A、B、C 為偶數之機率分別為1/3, 1/4, 1/5 ,在 A X B為偶數的條件下,求 A X B + C為奇數之機率? (A)1/5(B)2/5(C)3/5(D)4/5
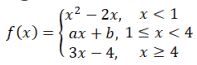
4.設,若 f(X) 在 x=1 和 x=4 皆具有極限,則下列哪一組 (a,b) 可行?(A)(1, -2) (B)(2, -3) (C)(3, -4) (D)(4, -5)
5.設 ,請問 1 到 之自然數中,它是 之倍數,但不為 倍數者共有幾個? (A) 56 (B) 58 (C) 60 (D) 62
6.設曲線 ,則此曲線在 處的切線斜率為何? (A) (B) (C) (D)
7.求 之極限值? (A) (B) (C) (D)
8.求積分 之值為何? (A) (B) (C) (D)
9.若矩陣 的轉置矩陣為 滿足 ,則下列哪一個為矩陣 ? (A) (B) (C) (D)
10.平面上有二定點 與 ,若點 在直線 上移動,則 之最大值下列哪一項? (A) (B) (C) (D)
11.求積分 之值為何? (A) (B) (C) (D) 。
12.求函數 在 之弧長為何? (A) (B) (C) (D)
13.求滿足 之區域面積? (A) (B) (C) (D)
14.若 為 階矩陣,則下面敘述中,哪一個與其他三個非等價? (A) 為可逆矩陣 (B) 能以基本矩陣表示 (C) 的秩為 (D) 的所有行向量為線性相依
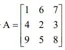
15.試求矩陣 的秩 (rank) 為何? (A) 1 (B) 2 (C) 3 (D) 4
16.下列哪一項為一階微分方程 的通解? (A) (B) (C) (D)
17.設 , ,則下列敘述何者正確? (A) (B) 若 ,則 (C) 若 ,則 (D) 若
18.設 x、y 為實數,滿足 4x 2 + (y − 1) 2 = 4,則 5x + 4y 的最大值最靠近的是? (A) 11 (B) 12 (C) 13 (D) 15
19.給定向量 a = (1, −1, 2)和 b = (3, 4, −1),請選出錯誤的選項。 (A) b × a = (7, −7, −7)。 (B) a 與 b 所張平行四邊形的面積=7 。 (C) −2b 與 2a + b 的夾角約 70。 (D)若 a 在 b 上的正射影為 t b,則(a −tb)⋅9b = 0
20.設多項式 ,請選出正確的選項。 (A) 的常數項為 11 (B) 的各項係數和為 8 (C) 的奇次項係數和為 4 (D) 的偶次項係數和為 5
21. 投擲一公正骰子兩次,X 表示 5 點出現的次數,已知 X ∼B (2, ),試選出正確的選項。 (A) P (X = 0) = (B) P (X = 1) = (C) P (X = 2) = (D) E (X) =
22.袋中有 5 顆球,其中 3 顆白球和 2 顆黑球。甲、乙兩人輪流從袋中取球,每次取一顆,取出後不放回。且每顆球被取出的機會均等。若 規定由甲開始,則甲先取到黑球的機率是多少? (A) (B) (C) (D)
23.一顆排球自離地面 25 公尺處落下,每次反彈高度為落下高度的 ,則此排球到靜止時所經過的路程為多少公尺。 (A) 50 (B) 75 (C) 100 (D) 125
24.求 =? (A) 0 (B) 1 (C) 2 (D) 3
25.已知函數 f (x) = x 3 + ax 2 + bx + c 在 x = −1 處有極大值 2,在 x = 3 處有極小值。求 a+b+c 的值。 (A) − 18 (B) − 15 (C) − 12 (D) − 11
26.求 =? (A) 4 (B) 4 (C) 4 (D) 4
27.已知 A、B 為兩獨立事件,P (A′) = 且 P (A′∪B) = ,則 P (B∣A)的值為下列哪一個選項? (A) (B) (C) (D)
28.設函數 的圖形與 x 軸、y 軸所圍成的封閉區域為 R,則區域 R 繞 y 軸旋轉所得的旋轉體體積是多少? (A) 5 (B) (C) (D)
29.求 的最大值。 (A) 1 (B) (C) (D)
30.求 ? (A) (B) (C) (D)
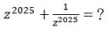
31.求 (A) 1 (B) −1 (C) i (D) −i
32.影響信賴區間(Confidence Interval)寬度的因素不包括下列何者? (A)顯著水準(α) (B)樣本平均值 (C)標準誤(standard error,se) (D)樣本數
33.已知函數 f (x) = x + 2 和 g (x) = ax − 2。同時已知 g (f (x)) = f (g (x)),則 a =? (A) 1 (B) 2 (C) 3 (D) 4
34.一個等腰三角形的底邊長是 10,兩腰長都是整數。已知它的面積也是整數,請問下列那一個長度符合此三角形的腰長? (A) 11 (B) 12 (C) 13 (D) 14
35.設 x 、 y 是實數,則 2 2 2 x + y + (x − 2y + 6) 的最小值為何? (A) 5 (B) 6 (C) 7 (D) 8
36.已知多項式 f (x) 被 (x −b)(x − c)、(x − a)(x − c)、(x − a)(x −b) 除之的餘式分別為 2x +1、− x + 7、3x −5 ,則 a + b + c =? (A) 8 (B) 9 (C) 10 (D) 11
37.設 A(4,5)是 4 6 4 0 2 2 x + y − x − y + = 的圖形的內部一點,則所有通過此點的弦的中點會形成一個圓,則此圓的圓心為何? (A) (3,4) (B) (3,2) (C) (2,3) (D) (2,4)
38.△ABC 中,若 (a + b + c)(a + b − c) = ab ,則∠C=? (A) 30 (B) 60 (C) 120 (D) 150
39.設− 2 x 2, 1 1 ( ) 4 2 + + = − x x f x 有最大值 M 和最小值 m ,則 M + m = ? (A) 4 223 (B) 4 225 (C) 4 227 (D) 4 229
40. 2 3 9 2 17 ..... 2 5 2 3 2 1 + + + + =? (A) 256 251 (B) 512 1515 (C) 1024 2515 (D) 1024 3049
41.將 12 件不同的玩具分成 5 件、4 件、3 件之後,再隨意分給甲、乙、丙三人,則有幾種可能的分法? (A) 18480 (B) 27720 (C) 55440 (D) 166320
42.多項式 ( ) 10 2 x + 3x + 2 除以 2 3 2 x + x + ,其餘式為何? (A) 704x +8416 (B) 4x + 2 (C) − 4x + 2 (D) 10x +14
43.下列敘述何者錯誤? (A) ln(1) = 0 (B) ln(e) =1 (C) ln(e) 1 (D) e 是無理數
44.求 cos(2 3) 4 sin( 5 7) lim 2 − − − + + → x x x x x x 的值為何? (A) 1 (B) 2 (C) 3 (D) 4
45.設 2 2 f (x) = (4x +3)(5x +3) ,則 f '(1) = ? (A) 1069 (B) 1070 (C) 1071 (D) 1072
46.求0 2 cos (x)dx 的值為何? (A) 2 (B) 4 (C) 8 (D) 16
47. ? 9 1 7 1 5 1 3 1 1− + − + −= (A) 2 (B) 4 (C) 8 (D) 16
48.針對 f( x,y ) =x4+y4-4xy+8 ,下列敘述何者錯誤? (A) (0,0) 、(1,1) 和 (−1,−1) 是臨界點(critical points) (B) f (x, y) 在 (1,1) 有相對極小值 (C) f (x, y) 在 (−1,−1) 有相對極小值 (D) f (x, y) 在 (0,0) 有相對極小值
49.令 ,則 det(A) = ? (A) −15 (B) −16 (C) −17 (D) −18
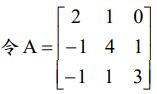
50.令 ,則下列何者不是 A 的特徵值? (A) 1 (B) 2 (C) 3 (D) 4