阿摩線上測驗
登入
首頁
>
技師◆岩石力學與隧道工程與山坡地工程【含水土保持工程】
>
103年 - 103年專門職業及技術人員高等建築師、技師、第二次食品技師暨普通不動產經紀人、記帳士考高等_大地工程技師#25184
> 申論題
申論題
試卷:103年 - 103年專門職業及技術人員高等建築師、技師、第二次食品技師暨普通不動產經紀人、記帳士考高等_大地工程技師#25184
科目:技師◆岩石力學與隧道工程與山坡地工程【含水土保持工程】
年份:103年
排序:0
申論題資訊
試卷:
103年 - 103年專門職業及技術人員高等建築師、技師、第二次食品技師暨普通不動產經紀人、記帳士考高等_大地工程技師#25184
科目:
技師◆岩石力學與隧道工程與山坡地工程【含水土保持工程】
年份:
103年
排序:
0
題組內容
二、如下圖,在水平地面下深度 Z=100 m 處,開挖半徑 R 的圓形隧道(隧道中心在 C 點),並假設岩盤單位重為 27 kN/m
3
、且側向土壓力係數 K=1。(請參考下示附註 的公式)
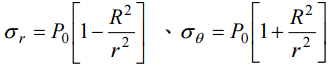
附註]依據 Kirsch solution 可得知若現地應力是均向的且令其值為 P0,則在距隧道 圓 心 距 離 r 處 之 任 一 點 的 徑 向 應 力 ( σ
r
) 與 切 線 應 力 ( σ
θ
) 如 下 :
,(R 為隧道的半徑)
申論題內容
(2)請以圖示配合文字,詳述在 A-B-C 水平線上,開挖前及開挖後鉛直岩壓之分佈形 狀變化、及其改變的原因。(10 分)