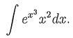
(3) Find the following integral 
詳解 (共 1 筆)
助人為本
詳解 #7377184
所以這題要用一個小技巧來解,就是湊微分
x^3微分和和x^2有相關性,我們要利用這個特性做變數變換
所以我們做的事情就是在裡面乘上3,外面乘以1/3
然後令變數為u變換即可解決

所以答案為
