題組內容
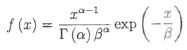
Let X be a random variable with the distribution

where a > 0 and β > 0. If Y = 1/X, the probability density function of Y is (7) , and
= (8) , where r is a positive integer.
= (8) , where r is a positive integer.