題組內容
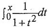
3. (20%) Let F be defined by F(x) =
, where x is any real number. (Hint: F'(x)=
)
(a) (10%) Find the critical numbers of F and determine the
intervals on which F is increasing and the intervals on
which F is decreasing.
3. (20%) Let F be defined by F(x) =
, where x is any real number. (Hint: F'(x)=
)
(a) (10%) Find the critical numbers of F and determine the
intervals on which F is increasing and the intervals on
which F is decreasing.