題組內容
2. In macroeconomics, the Ramsey-Cass-Koopmans model assumes that the household's
lifetime utility function takes this form:
where C(t) is the instantaneous consumption of the household at time t, u(:) is the
instantaneous utility function, and p is the discount rate. 0 < p < 1. Usually the
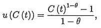
instantaneous utility function is assumned to take the constant-relative-risl-aversion
(CRRA) form:
where θ > 0.
(a) Suppose that Loretta's instantaneous utility function takes the CRRA
form. Compute her coefficient of relative risk aversion:

where u' (C) and u" (C) are respectively the first and second derivatives of u (C).