阿摩線上測驗 登入

申論題資訊

試卷:98年 - 98 國立交通大學管碩士班考試入學試題_交通運輸研究所、運輸科技與管理學系:統計學#124074
科目:研究所、轉學考(插大)◆統計學
年份:98年
排序:0

題組內容

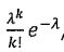
10. The Poisson frequency function with parameter λ (λ > 0) is
P(X = k) =, k = 0, 1, 2,...
Find the Moment Generating Function of Poisson distribution, and find the mean and variance by using the Moment Generating Function.

申論題內容

(a) Moment Generating Function, M(t) = 4%