阿摩線上測驗 登入

申論題資訊

試卷:101年 - 101 國立中正大學_學士班二年級轉學生招生考試試題_全校:微積分#122384
科目:研究所、轉學考(插大)-微積分
年份:101年
排序:0

題組內容

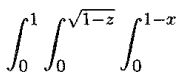
1. (4+4+4=12分) Sketch the solid whose volume is given by66ce98011a1b3.jpgf(x, y, z)dydzdx. Then, rewrite this iterated integral in the following orders:

申論題內容

(b) ∫∫∫ f(x,y,z)dydzdx