阿摩線上測驗
登入
首頁
>
研究所、轉學考(插大)-微積分
>
98年 - 98 國立政治大學轉學生招生考試_應用數學系:微積分(二)#122256
> 申論題
題組內容
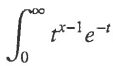
1. (20%) Let Γ(x) =
dt.
(b) Evaluate the value Γ(
).
相關申論題
(a) Show that F(x) is well-defined for x > 0.
#520894
(c) Show that (n + 1) = n! for all positive integers.
#520896
(a) If bothconverge absolutely, thenanbn also converges absolutely.
#520897
(b) If p>1, then the seriesconverges.
#520898
(a) Prove that the volume of S isπ.
#520899
(b) Evaluate ∭S (x² + y² + z²)(5/2) dxdydz.
#520900
(a) Find the arc-length of C.
#520901
(b) Evaluate the integral ∫C (x + y + z) ds.
#520902
5. (20%) Let D = [a, b] × [c, d] be a rectangle in R² and f: D → R be a continuous function whose partial derivatives are continuous. Show that the surface area of z = f(x, y) is given by dxdy.
#520903
(二) 某海洋污染物濃度隨深度 $z$ (公尺)變化為: $$ C(z) = 120 e^{-0.25z} $$ 求從海面 (z = 0) 到深度 z = 4 公尺之間,污染物的平均濃度。(15 分) ※計算時可使用此近似值:$e^{-1} \approx 0.3679$
#574880
相關試卷
115年 - 115 中央警察大學_碩士班入學考試試題_海洋科技組:微積分#139855
115年 · #139855
115年 - 115 中央警察大學_碩士班入學考試試題_消防科學研究所、交通管理研究所:微積分#139760
115年 · #139760
114年 - 114 臺灣綜合大學系統_學士班轉學生考試試題:微積分A#137897
114年 · #137897
114年 - 114 臺灣綜合大學系統_學士班轉學生考試試題:微積分B#137819
114年 · #137819
114年 - 114 台灣聯合大學系統_學士班轉學生考試試題:微積分#137762
114年 · #137762
114年 - 114 台灣聯合大學系統_學士班轉學生考試試題:微積分#137761
114年 · #137761
114年 - 114 國立臺灣大學_轉學生招生考試_物理學系/土木工程學系/生物環境系統工程學系/生物機電工程學系:微積分(B)#137745
114年 · #137745
114年 - 114 國立臺灣大學_轉學生招生考試_數學系:微積分(A)#137744
114年 · #137744
113年 - 113 國立嘉義大學_轉學生招生考試試題_(全校):微積分#122986
113年 · #122986
112年 - 112 國立臺灣大學_碩士班招生考試題:微積分(D)#130254
112年 · #130254