阿摩線上測驗 登入

申論題資訊

試卷:110年 - 110 國立中山大學碩士暨碩士專班招生考試_部分碩士班:工程數學#104301
科目:研究所、轉學考(插大)◆工程數學
年份:110年
排序:0

題組內容

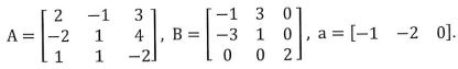
6. Let
61a473e00371b.jpg Find the resultant matrices of the following expressions or give reasons why they are undefined. Each calculation result should be given in a step-by-step way.

申論題內容

(c) aBaT;