阿摩線上測驗
登入
首頁
>
數位訊號處理(DSP)
>
100年 - 100 一般警察特種考試_二等_刑事警察人員犯罪分析組:數位訊號處理(DSP)#45856
> 申論題
題組內容
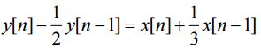
一、若一線性非時變系統之輸入 x[n]與輸出 y[n]之關係如下列差分方程式
⑴試求此系統脈衝響應 h[n]之傅立葉轉換 H (e
jω
) 。(10 分)
相關申論題
三、請繪出八點 x[0]~x[7] decimation-in-time 之快速傅立葉轉換(FFT)之 Flow Graph。 (20 分)
#155296
四、如圖為降頻取樣系統,輸入訊號 x[n],其 z 轉換表示為 X(z),試求輸出訊號 y[n]之 z 轉換 Y(z)。(20 分)
#155297
⑵給予一影像訊號 ,請利用⑴小題的線性轉換矩陣 A 表示影像訊號 I 之二維離散餘弦轉換。(10 分)
#155299
五、考慮 x[n],它的離散時間傅立葉轉換(DTFT)如圖三中所示。 當 ,請畫出(sketch)( 20 分)
#311679
⑵ 1/T1=104 ,1/T2=2·104
#311678
⑴ 1/T1=2·104 ,1/T2=104
#311677
三、何謂奈斯特取樣定理(Nyquist Sampling Theorem)?(20 分)
#311676
⑵請找出 impulse response of a causal and stable system,能使得 is all pass, which has constant magnitude response for all ω. The * denotes complex conjugation.)
#311675
⑴是否可能可以找到另一個 causal 且 stable 的系統,Hi(Z),若存在有某 Z 能使 H(Z)Hi(Z)=1,若是,請找出 Hi(Z)的收斂區(region of convergence)。若否,請解釋為什麼?
#311674
⑵ 請找出輸出 y[n]。
#311673
相關試卷
108年 - 108 一般警察特種考試_二等_刑事警察人員犯罪分析組:數位訊號處理(DSP)#77041
108年 · #77041
107年 - 107 一般警察特種考試_二等_刑事警察人員犯罪分析組:數位訊號處理(DSP)#69544
107年 · #69544
106年 - 106 一般警察特種考試_二等_刑事警察人員犯罪分析組:數位訊號處理(DSP)#62382
106年 · #62382
104年 - 104 一般警察特種考試_二等_刑事警察人員犯罪分析組:數位訊號處理(DSP)#22570
104年 · #22570
103年 - 103 一般警察特種考試_二等_刑事警察人員犯罪分析組:數位訊號處理(DSP)#43504
103年 · #43504
100年 - 100 一般警察特種考試_二等_刑事警察人員犯罪分析組:數位訊號處理(DSP)#45856
100年 · #45856
99年 - 99 警察特種考試_二等_刑事警察人員犯罪分析組:數位訊號處理(DSP)#46835
99年 · #46835
97年 - 97 警察特種考試_二等_刑事警察人員犯罪分析組:數位訊號處理(DSP)#48720
97年 · #48720
96年 - 96-2 警察特種考試_二等_刑事鑑識人員影像處理組、刑事警察人員犯罪分析組:數位訊號處理(DSP)#57040
96年 · #57040