阿摩線上測驗
登入
首頁
>
藥理學與藥物化學
>
106年 - 106 高等考試_三級_藥事:藥理學與藥物化學#63607
> 申論題
題組內容
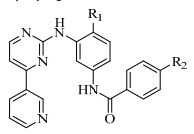
八、Imatinib 結構如下圖,試回答下列問題:
⑴其主要臨床用途及作用之目標酵素。
相關申論題
⑴Agonist / Antagonist
#255035
⑵Efficacy / Potency
#255036
⑶Pharmacokinetics / Pharmacodynamics
#255037
⑴Methotrexate(MTX)
#255038
⑵Irinotecan
#255039
⑶Doxorubicin
#255040
⑷Erlotinib
#255041
⑸Trastuzumab
#255042
⑴Granisetron
#255043
⑵Esomeprazole
#255044
相關試卷
115年 - 115 關務特種考試_三等_藥事(選試英文):藥理學與藥物化學#138922
115年 · #138922
114年 - 114 高等考試_三級_藥事:藥理學與藥物化學#128497
114年 · #128497
114年 - 114 關務特種考試_三等_藥事(選試英文):藥理學與藥物化學#126560
114年 · #126560
113年 - 113 高等考試_三級_藥事:藥理學與藥物化學#121257
113年 · #121257
113年 - 113 關務特種考試_三等_藥事(選試英文):藥理學與藥物化學#119458
113年 · #119458
112年 - 112 公務升官等考試_薦任_藥事:藥理學與藥物化學#117130
112年 · #117130
112年 - 112 高等考試_三級_藥事:藥理學與藥物化學#115547
112年 · #115547
112年 - 112 關務特種考試_三等_藥事:藥理學與藥物化學#113877
112年 · #113877
111年 - 111 高等考試_三級_藥事:藥理學與藥物化學#109661
111年 · #109661
111年 - 111 關務特種考試_三等_藥事:藥理學與藥物化學#107544
111年 · #107544