題組內容
一、一螺旋壓縮彈簧由直徑為 4 mm 之鋼線所製成,其彈簧指數(spring index)C = 10。 彈簧放置於一圓形直孔內承受靜態荷載,彈簧兩端為普通端(plain ends),彈簧之自 由長度為 80 mm。當施加之作用力為 50 N 時,彈簧壓縮量須為 15 mm。彈簧線之剪 力模數 G = 77.2 GPa,剪應力降伏強度
= 715 MPa,試求:
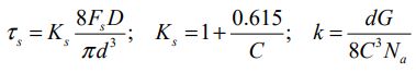
參考公式:

⑴彈簧總圈數及使用此彈簧時圓形直孔之最小直徑。
一、一螺旋壓縮彈簧由直徑為 4 mm 之鋼線所製成,其彈簧指數(spring index)C = 10。 彈簧放置於一圓形直孔內承受靜態荷載,彈簧兩端為普通端(plain ends),彈簧之自 由長度為 80 mm。當施加之作用力為 50 N 時,彈簧壓縮量須為 15 mm。彈簧線之剪 力模數 G = 77.2 GPa,剪應力降伏強度
= 715 MPa,試求:

⑴彈簧總圈數及使用此彈簧時圓形直孔之最小直徑。