阿摩線上測驗
登入
首頁
>
水文學
>
104年 - 104 地方政府特種考試_三等_水利工程:水文學#35122
> 申論題
題組內容
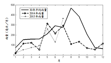
二、下圖中實線為石門水庫集水區 1982-2011 年的 30 年平均逐月雨量,空心圓虛線為 2014 年 逐月雨量,十字虛線為 2015 年 1~7 月雨量。
⑴石門水庫集水區主要降水來自颱風 季降水、梅雨降水、春雨降水,請由大至小列出此三者對石門水庫集水區的降水重 要性;(10 分)
相關申論題
⑴永久凋萎點(permanent wilting point)
#92698
⑵飽和度(degree of saturation)
#92699
⑵ 2015 年北部地區發生嚴重乾旱,請以圖中數據推論乾旱發生的主 要成因。(10 分)
#92701
四、試述臺灣降雨特性,並說明對於相應災害及水資源運用上如何因應?(25 分)
#569620
三、地文因子對逕流的發生與分布影響甚大,請問河溪特性之分岔比定義為何?並請說明比較分岔比大的流域和分岔比小的流域,它們流量歷線的差異。(25 分)
#569619
(五)五年內發生兩次超過 1500 cms 的機率?
#569618
(四)第五年才發生超過 1500 cms 的機率?
#569617
(三)五年內至少發生三次超過 1500 cms 的機率?
#569616
(二)五年內不發生超過 1500 cms 的機率?
#569615
(一)每年發生超過 1500 cms 的機率?
#569614
相關試卷
115年 - 115 身心障礙特種考試_三等_水利工程:水文學#138863
115年 · #138863
114年 - 114 地方政府公務特種考試_三等_水利工程:水文學#134678
114年 · #134678
114年 - 114 地方政府公務特種考試_四等_水利工程:水文學概要#134671
114年 · #134671
114年 - 114 專技高考_水利工程技師:水文學#133647
114年 · #133647
114年 - 114 公務升官等考試_薦任_水利工程:水文學#133156
114年 · #133156
114年 - 114 高等考試_三級_水利工程:水文學#128745
114年 · #128745
114年 - 114 普通考試_水利工程:水文學概要#128617
114年 · #128617
114年 - 114 身心障礙特種考試_三等_水利工程:水文學#126637
114年 · #126637
113年 - 113 地方政府公務特種考試_三等_水利工程:水文學#124455
113年 · #124455
113年 - 113 地方政府公務特種考試_四等_水利工程:水文學概要#124423
113年 · #124423