阿摩線上測驗
登入
首頁
>
機械設計
>
101年 - 101 身心障礙特種考試_四等_機械工程:機械設計概要#33860
> 申論題
題組內容
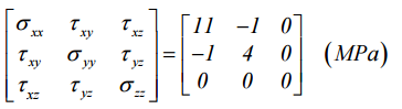
二、機械元件上某點所承受之應力狀態,其應力值為:
⑴試問此點對應之主應力σ
1
, σ
2
與σ
3
各若干?(9 分)
相關申論題
⑴最大主應力破壞理論(Maximum Principle Stress Failure Theory)(6 分)
#84654
⑵最大剪應力破壞理論(Maximum Shear Stress Failure Theory)(7 分)
#84655
⑶最大畸變能破壞理論(Maximum Distortion Energy Failure Theory)(7 分)
#84656
⑵試問此點對應之最大剪應力τmax為若干?(6 分)
#84658
⑶試問此點是否屬平面應力(Plane Stress)狀況?(5 分)
#84659
⑴若僅考慮 AB 段轉軸,該系統所能承受之最大扭矩T0 為若干 Nm(牛頓米)? (10 分)
#84660
⑵若同時考慮 AB 與 CD 段轉軸,則該系統所能承受之最大扭矩T0 為若干 Nm(牛頓米)?(10 分)
#84661
⑴此標示 H9/g7 是屬基孔制(Hole Basis)亦或基軸制(Shaft Basis)之配合(Fit) 制度?(5 分)
#84662
⑵該孔的最大許可尺寸Dmax與最小許可尺寸Dmin分別為若干?(5 分)
#84663
⑶該軸的最大許可尺寸dmax與最小許可尺寸dmin分別為若干?(5 分)
#84664
相關試卷
115年 - 115 身心障礙特種考試_四等_機械工程:機械設計概要#138890
115年 · #138890
115年 - 115 身心障礙特種考試_三等_機械工程:機械設計#138882
115年 · #138882
114年 - 114 地方政府公務特種考試_三等_機械工程:機械設計#134728
114年 · #134728
114年 - 114 地方政府公務特種考試_四等_機械工程:機械設計概要#134719
114年 · #134719
114年 - 114 公務、關務升官等考試_薦任_機械工程、技術類(選試機械設計)-關務:機械設計#133265
114年 · #133265
114年 - 114 交通事業港務升資考試_員級晉高員級_技術類(選試機械設計)-港務:機械設計#133244
114年 · #133244
114年 - 114 高等考試_二級_機械工程:機械設計學#131583
114年 · #131583
114年 - 114 原住民族特種考試_四等_機械工程:機械設計概要#130917
114年 · #130917
114年 - 114 高等考試_三級_機械工程:機械設計#128741
114年 · #128741
114年 - 114 普通考試_機械工程:機械設計概要#128447
114年 · #128447