阿摩線上測驗
登入
首頁
>
水產資源學
>
105年 - 105 地方政府特種考試_三等_漁業技術:水產資源學#58738
> 申論題
題組內容
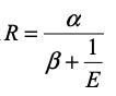
二、常用來描述親仔關係(stock-recruitment curves)曲線之一為 Beverton-Holt 型親仔關 α 係曲線
,其中 R 為加入尾數,E 為親魚尾數,α 、 β 為常數。
⑴請敘述 Beverton-Holt 型親仔關係曲線之適用魚種。(5 分)
相關申論題
⑵請繪製 Beverton-Holt 型親仔關係曲線圖。 (5 分)
#231858
⑶當 E =?時,R 有漸近值 =?請寫出推導式子。 (10 分)
#231859
⑴請繪製資源量(Pt)對時間(t)的變動圖。(10 分)
#231860
⑵請問當 t =?時,Pt 可以有最大成長率=?請詳細寫出推導過程。(20 分)
#231861
四、臺灣沿近海域漁業資源低下,因此政府、漁會及許多民間團體進行許多魚苗放流(或 放生)措施,希望提升海域資源量。你是漁業資源研究人員,請舉例說明,並舉三個 方法可以判別海中捕獲的魚隻到底屬於野生族群或是放流(或放生)族群?(30 分)
#231862
一、社會個案工作中會談(interview)之意義為何?進行個案會談時,社會工作人員應注 意之事項有那些?(25 分)
#231863
二、根據安寧緩和醫療條例,什麼是安寧緩和醫療?其對象規定如何?(25 分)
#231864
⑴若開關 SW 開路,求電流 i 與電壓 vo。(10 分)
#231865
⑵若開關 SW 短路,求電流 i 與電壓 vo。(10 分)
#231866
⑴若要使 PMOSFET 之|VOV | = 0.3 V、ID = 0.6 mA,求 RS 之值為多少?在此條件下的 PMOSFET 之 gm 為多少?(10 分)
#231868
相關試卷
114年 - 114 地方政府公務特種考試_三等_漁業技術:水產資源學#134666
114年 · #134666
114年 - 114 地方政府公務特種考試_四等_漁業技術:水產資源學概要#134630
114年 · #134630
114年 - 114 公務升官等考試_薦任_水產技術:水產資源學#133096
114年 · #133096
114年 - 114 高等考試_二級_水產技術:水產資源學#131539
114年 · #131539
114年 - 114 高等考試_三級_漁業技術:水產資源學#128543
114年 · #128543
114年 - 114 普通考試_漁業技術:水產資源學概要#128325
114年 · #128325
113年 - 113 地方政府公務特種考試_四等_漁業技術:水產資源學概要#124381
113年 · #124381
113年 - 113 地方政府公務特種考試_三等_漁業技術:水產資源學#124310
113年 · #124310
113年 - 113 專技高考_漁撈技師:水產資源學#123840
113年 · #123840
113年 - 113 高等考試_三級_漁業技術:水產資源學#121321
113年 · #121321