題組內容
五、已知某流域水文站 20 年之洪水記錄如下:


若其滿足極端值Ⅰ型分佈(Extreme Value TypeⅠDistribution),其機率密度函數如下:
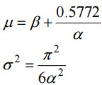
已知平均值μ 及變異數 σ2 與參數α 、β 之關係如下:
已知平均值μ 及變異數 σ2 與參數α 、β 之關係如下:
試求:

已知平均值μ 及變異數 σ2 與參數α 、β 之關係如下: