阿摩線上測驗 登入

申論題資訊

試卷:109年 - 109 專技高考_造船工程技師:造船設計(包括造船原理)#93151
科目:技師◆造船設計
年份:109年
排序:0

題組內容

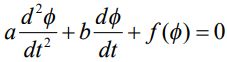
二、某船舶具排水量 100 ton 於平靜海域進行橫搖運動,其運動方程式如下:
5fbca89dde05a.jpg 其中Φ 為橫搖角,t 為時間,a為船舶的質量慣性矩,b 為橫搖阻尼係數, f (Φ )  為船舶的扶正力矩。在微小橫搖角的條件下,若船舶的質量迴轉半 徑為 7.071 m、橫搖阻尼係數為 1000 ton-m2 /s、橫向定傾高為 2.549 m、 初始橫搖角為5°、初始橫搖速度為-0.5 /s° 。請完成下列各項物理量計算: (每小題 8 分,共 24 分)

申論題內容

⑵船舶的橫搖週期。