題組內容
二、 若隨機變數(X,Y)為二維常態分配,且X之均數為μx、變異數為
,Y之均數為μy、變異數為
,X與Y之相關係數為ρ 。
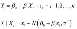
⑵若將上述的結果表達為解釋變數X及反應變數Y之簡單線性迴歸模型如下:
εi為隨機誤差;亦即
請將β0、β1及σ2重新以
與ρ等符號表達之。
二、 若隨機變數(X,Y)為二維常態分配,且X之均數為μx、變異數為
,Y之均數為μy、變異數為
,X與Y之相關係數為ρ 。
⑵若將上述的結果表達為解釋變數X及反應變數Y之簡單線性迴歸模型如下:
εi為隨機誤差;亦即
請將β0、β1及σ2重新以
與ρ等符號表達之。