阿摩線上測驗
登入
首頁
>
技師◆空氣動力學
>
107年 - 107 專技高考_航空工程技師:空氣動力學#72909
> 申論題
題組內容
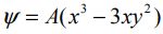
二、二維不可壓縮無黏流(incompressible inviscid flow)的流線函數為
。
⑵請驗證流線 ψ = c
1
與等速度勢能線φ = c
2
是互相正交的。(10 分)
相關申論題
一、請使用必歐-沙伐定律(Biot-Savart law, )計算一環流強 度為 Γ 且半徑為 R 的圓形渦流線(circular vortex filament)在其圓心產 生的誘導速度(induced velocity)。(10 分)
#296726
⑴請檢視是否為無旋流(irrotational flow)並計算此流場之速度勢能函 數φ。(5 分)
#296727
⑴請計算流場在圓柱表面(r = a),r 方向與 θ 方向的速度 vr,vθ。(5 分)
#296729
⑵請計算靜滯點(stagnation point)的位置。(5 分)
#296730
⑶請計算圓柱表面的壓力分布(假設流場遠端上游的靜壓為 p0)。(5 分)
#296731
⑷請計算作用在圓柱上垂直方向與水平方向的力 Fx,Fy。(10 分)
#296732
四、對一個具彎度(cambered)的翼剖面(airfoil),沿著平均彎度線 z = z(x) 有一渦流強度分布函數 γ(x),可藉由在平均彎度線上之邊界條件計算得出。 若使用轉換式 ,則 γ(x)計算公式可表示為: 其中ܿ為弦長(chord),ߙ為攻角,ܸV∞為自由流速度。若此平均彎度線為 一段半徑為ܴ的圓弧線段(如下圖)且最大平均彎度大小為݇ܿ,假設 k<<1 且為常數。 請驗證 γ(x)的近似式為: 。(20 分)
#296733
⑴翼剖面之升力係數與誘導阻力係數(sectional-lift and induced-drag coefficients)。(6 分)
#296734
⑵有效攻角、誘導攻角及絕對攻角(effective, induced, and absolute angles of attack)。(9 分)
#296735
⑶克服機翼誘導阻力(induced drag)所需之功率。(5 分)
#296736
相關試卷
109年 - 109 專技高考_航空工程技師:空氣動力學#93305
109年 · #93305
107年 - 107 專技高考_航空工程技師:空氣動力學#72909
107年 · #72909
107年 - 107 民航特種考試_三等_航務管理:空氣動力學#71937
107年 · #71937
106年 - 106 民航特種考試_三等_航務管理:空氣動力學#64721
106年 · #64721
105年 - 105 民航特種考試_三等_航務管理:空氣動力學#56464
105年 · #56464
104年 - 104 民航特種考試_三等_航務管理:空氣動力學#41329
104年 · #41329
103年 - 103 民航特種考試_三等_航務管理:空氣動力學#25347
103年 · #25347
103年 - 103 專技高考_航空工程技師:空氣動力學#25346
103年 · #25346
102年 - 102 民航特種考試_三等_航務管理:空氣動力學#26067
102年 · #26067
101年 - 101 專技高考_航空工程技師:空氣動力學#26690
101年 · #26690