阿摩線上測驗
登入
首頁
>
國際經濟學
>
96年 - 96 普通考試_經建行政:國際經濟學概要#39245
> 申論題
題組內容
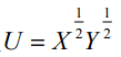
一、假設本國(稱為 A 國)和外國(稱為 B 國)都生產及消費兩類商品:X 和 Y。A 國 的生產可能線(production possibilities curve)為 X+2Y=100,B 國的生產可能線為 2X+Y=100,兩國的效用函數都是
。試問:
⑵若兩國發生國際貿易,則 A、B 兩國對 X 和 Y 的生產量及消費量分別為何?國際 間商品的相對價格(P
x
/P
y
)為多少?(5 分)
相關申論題
⑴若 A、B 兩國無國際貿易,則兩國人民對兩種商品的消費量分別為何?而兩國貿 易前商品之相對價格(Px/Py)分別為若干?(5 分)
#117051
⑶試繪出自由貿易之下兩國的提供曲線(offer curve)。(15 分)
#117053
二、在國際貿易理論中,「要素豐富(factor abundance)」通常可以從「價格」和「數 量」兩種層面來定義,試詳述這兩種「要素豐富」的定義,且明白指出其區別,並 舉例說明這兩種定義可能發生衝突的情形。(25 分)
#117054
⑴假定購買力平價(purchasing power parity)成立,並設國外通貨膨脹率每年 3%, 試就下列兩種情況求算國內 CPI 的變動率:(10 分) 1.本國通貨每年貶值 7%。
#117055
2.本國通貨每年升值 3%。
#117056
⑶承⑵之設定,試就下列兩種情況計算實質匯率的變動率:(10 分) 1.國內非貿易財相對價格上升 3%(假定國外非貿易財價格不變)。
#117058
2.兩國非貿易財相對價固定不變,但貿易財價格改變使本國貿易條件(terms of trade)EPt∗/ Pt 增加 3%(其中 Pt* 為以國外通貨表示的貿易財價格)。
#117060
四、有些經濟學者以為本國通貨貶值具有擴張就業(或產出)的效果,其理論依據為何? 試分別從總合需求(Aggregate Demand)和總合供給(Aggregate Supply)兩方面各舉 三個例子來說明本國通貨貶值可能導致就業(或產出)的減少。[一般稱這種情形為 貶值的緊縮效果(contractionary effect of devaluation)]。(25 分)
#117059
四、若世界其他國家對本國產品的需求下降,導致本國出口減少,政府為維 持充分就業,可採行擴張性貨幣政策或擴張性財政政策。請說明兩種政 策對於匯率的影響有何不同?請利用總合供給與需求模型(AS AD)繪 圖分析之。(25 分)
#554963
三、何謂匯率過度調整(Exchange Rate Overshooting)?請繪圖分析此一現 象,並說明其形成原因。(25 分)
#554962
相關試卷
114年 - 114 公務升官等考試_薦任_經建行政:國際經濟學#133054
114年 · #133054
114年 - 114 外交特種考試_三等_外交領事人員類科英文組一、外交領事人員類科法文組、外交領事人員類科德文組、外交領事人員類科日文組、外交領事人員類科西班牙文組、外交領事人員類科阿拉伯文組、外交領事人員類科義大利文組、外交領事人員類科葡萄牙文組:國際經濟#130941
114年 · #130941
114年 - 114 外交特種考試_三等_外交領事人員類科英文組二:國際經濟(以英文命題及作答)#130924
114年 · #130924
114年 - 114 國際經濟商務特種考試_三等_國際經濟商務人員類科國際經貿法律組:國際經濟學(國際貿易理論及實務、國際金融理論)#130836
114年 · #130836
114年 - 114 國際經濟商務特種考試_三等_國際經濟商務人員類科英文組、國際經濟商務人員類科日文組、國際經濟商務人員類科韓文組:國際經濟學(國際貿易理論及實務、國際金融理論)#130831
114年 · #130831
114年 - 114 國家安全情報特種考試_三等_國際組(選試英文):國際經濟學(含國際經貿組織)#127690
114年 · #127690
113年 - 113 國際經濟商務特種考試_三等_國際經濟商務人員類科英文組:國際經濟學(國際貿易理論及實務、國際金融理論)#122677
113年 · #122677
113年 - 113 外交特種考試_三等_外交領事人員類科英文組一、外交領事人員類科法文組、外交領事人員類科德文組、外交領事人員類科日文組、外交領事人員類科西班牙文組、外交領事人員類科阿拉伯文組、外交領事人員類科韓文組、外交領事人員類科俄文組、外交領事人員類科義大利文組、外交領事人員類科土耳其文組、外交領事人員類科葡萄牙文組:國際經濟#122654
113年 · #122654
113年 - 113 外交特種考試_三等_外交領事人員類科英文組二:國際經濟(以英文命題及作答)#122650
113年 · #122650
113年 - 113 國家安全情報特種考試_三等_國際組(選試英文):國際經濟學(含國際經貿組織)#120435
113年 · #120435