阿摩線上測驗
登入
首頁
>
公職 - 藥物分析與生藥學(包含中藥學)
>
96年 - 96-2 關務特種考試_三等_藥事:藥物分析與生藥學(包括中藥學)#55859
> 申論題
申論題
試卷:96年 - 96-2 關務特種考試_三等_藥事:藥物分析與生藥學(包括中藥學)#55859
科目:公職 - 藥物分析與生藥學(包含中藥學)
年份:96年
排序:0
申論題資訊
試卷:
96年 - 96-2 關務特種考試_三等_藥事:藥物分析與生藥學(包括中藥學)#55859
科目:
公職 - 藥物分析與生藥學(包含中藥學)
年份:
96年
排序:
0
題組內容
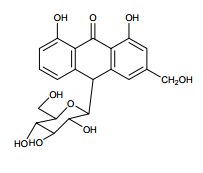
六、蘆薈(aloe)含蒽醌配醣體(anthraquinone glycosides)aloin A 結構如下。試述: (15 分)
申論題內容
⑶此醣基與非醣基之鍵結法屬何種 glycoside?
詳解 (共 1 筆)
詳解
提供者:Bonnie
c-glycoxide