阿摩線上測驗
登入
首頁
>
水文學
>
102年 - 102 高等考試_三級_水利工程:水文學#29293
> 申論題
申論題
試卷:102年 - 102 高等考試_三級_水利工程:水文學#29293
科目:水文學
年份:102年
排序:0
申論題資訊
試卷:
102年 - 102 高等考試_三級_水利工程:水文學#29293
科目:
水文學
年份:
102年
排序:
0
題組內容
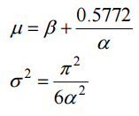
五、已知某流域水文站 20 年之洪水記錄如下:
若其滿足極端值Ⅰ型分佈(Extreme Value TypeⅠDistribution),其機率密度函數如下:
已知平均值μ 及變異數 σ
2
與參數α 、β 之關係如下:
申論題內容
試求:1.參數α 與β 。(10 分)