阿摩線上測驗
登入
首頁
>
高考◆大氣動力學
>
103年 - 103年高等三級暨普通考高考三級_氣象#39898
> 申論題
題組內容
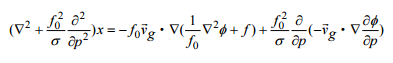
三、準地轉系統最終可表達成下列趨勢方程:(每小題 10 分,共 20 分) )
其中 f
0
為科氏參數,σ為靜力穩定度,x 為重力位趨勢,
Φ
為重力位。
(二) 討論等號右邊第二項在中緯度槽脊系統移動和發展的對象。
相關申論題
四、請就密度和溫度、壓力間關係、地轉風是否隨高度變化、熱力風是否存在、天氣系 統隨高度強度是否改變、天氣系統隨高度是否傾斜等特性,分別討論正壓和斜壓大 氣之特徵。(10 分)
#120740
六、何謂第二類條件性不穩定(CISK)?赤道上是否存在 CISK?並請解釋之。(10 分)
#120742
(一)同心圓柱桶內流體之環流量(circulation)
#120743
(2)同心圓柱桶內流體之平均渦度(vorticity)。
#120744
(3)同心圓柱桶內流體之平均散度(divergence)。
#120745
(4)同心圓柱桶內頂部之平均垂直速度(假設桶底垂直速度為零)。
#120746
一、飛機飛越於廣大水面之上空時,是否仍然能夠以都卜勒雷達(Doppler radar)測量 自己之速度?請說明其理由。(10 分)
#120747
二、何謂「自動輔佐偵測」ADS(Automatic Dependent Surveillance)?根據國際民航組 織(ICAO)規定,自動輔佐偵測所傳遞的資料至少應包含那些?(10 分)
#120748
三、全球定位系統(global positioning system, GPS)是否可單獨(sole)用於精確進場 (precision approach)與降落(landing)之導航?請說明其理由。(10 分)
#120749
四、飛機降落時,何謂「決定高度」(decision height, DH)?請說明其定義。(10 分)
#120750
相關試卷
114年 - 114 公務升官等考試_薦任_氣象:大氣動力學#133182
114年 · #133182
114年 - 114 高等考試_三級_氣象:大氣動力學#128403
114年 · #128403
113年 - 113 高等考試_三級_氣象:大氣動力學#121506
113年 · #121506
112年 - 112 公務升官等考試_薦任_氣象:大氣動力學#117306
112年 · #117306
112年 - 112 高等考試_三級_氣象:大氣動力學#115412
112年 · #115412
111年 - 111 高等考試_二級_氣象:高等大氣動力學#110948
111年 · #110948
111年 - 111 高等考試_三級_氣象:大氣動力學#109426
111年 · #109426
110年 - 110 公務升官等考試_薦任_氣象:大氣動力學#103685
110年 · #103685
110年 - 110 高等考試_三級_氣象:大氣動力學#102397
110年 · #102397
109年 - 109 高等考試_三級_氣象:大氣動力學#88749
109年 · #88749