阿摩線上測驗
登入
首頁
>
研究所、轉學考(插大)-微積分
>
104年 - 104 國立嘉義大學_轉學生招生考試試題:微積分#124586
> 申論題
題組內容
二、計算題
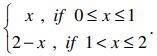
1. 假設函數定義如下: f(x) =
(a)判斷 f 在 x = 1 處是否可微分(differentiable)?為什麼?
相關申論題
1. 求下列各極限:(1)=________
#529849
1. 求下列各極限:(2)=________
#529850
2. 求經過曲線 3(x² + y²)² = 100xy 上點 P(3,1) 之切線方程式為何?
#529851
3. 何謂微積分基本定理(The Fundamental Theorem of Calculus)?
#529852
4. 平面上給定一點 P(0,2),試在函數 y = f(x) = 4 - x² 的圖形上找一點 Q,使 P 與 Q 兩點的距離最短_________。
#529853
5. 求兩曲線: y = f(x) = x³, y = g(x) = x 所圍成的區域之面積為何?
#529854
6.tan x dx = ln(p), 則 p=________
#529855
7. 求dx =________
#529856
8. 設 f(x) = , -1 ≤ x ≤ 1。若 f 為連續函數,則數對(a, b)=________
#529857
9. 求=________
#529858
相關試卷
114年 - 114 臺灣綜合大學系統_學士班轉學生考試試題:微積分A#137897
114年 · #137897
114年 - 114 臺灣綜合大學系統_學士班轉學生考試試題:微積分B#137819
114年 · #137819
114年 - 114 台灣聯合大學系統_學士班轉學生考試試題:微積分#137762
114年 · #137762
114年 - 114 台灣聯合大學系統_學士班轉學生考試試題:微積分#137761
114年 · #137761
114年 - 114 國立臺灣大學_轉學生招生考試_物理學系/土木工程學系/生物環境系統工程學系/生物機電工程學系:微積分(B)#137745
114年 · #137745
114年 - 114 國立臺灣大學_轉學生招生考試_數學系:微積分(A)#137744
114年 · #137744
113年 - 113 國立嘉義大學_轉學生招生考試試題_(全校):微積分#122986
113年 · #122986
112年 - 112 國立臺灣大學_碩士班招生考試題:微積分(D)#130254
112年 · #130254
112年 - 112 國立陽明交通大學_碩士班入學招生試題_統計學研究所﹕微積分與線性代數#130252
112年 · #130252
112年 - 112 國立嘉義大學_轉學生招生考試試題:微積分#123297
112年 · #123297