阿摩線上測驗 登入

申論題資訊

試卷:110年 - 110 國立政治大學_碩士班暨碩士在職專班招生考試_ 應用物理研究所:普通物理#102199
科目:研究所、轉學考(插大)◆普通物理學
年份:110年
排序:4

題組內容

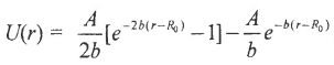
2.The potential energy of a diatomic molecule is616925a2c6634.jpg, where both A and b are positive constants and r is the distance between the two atoms.

申論題內容

(d) If each atom of the molecule has the identical mass m, what is the vibration frequency of the molecule? What is the zero-point energy of the molecule? (20%)