阿摩線上測驗
登入
首頁
>
高考◆大氣動力學
>
99年 - 099年高等三級暨普通高三_氣象#40229
> 申論題
申論題
試卷:99年 - 099年高等三級暨普通高三_氣象#40229
科目:高考◆大氣動力學
年份:99年
排序:0
申論題資訊
試卷:
99年 - 099年高等三級暨普通高三_氣象#40229
科目:
高考◆大氣動力學
年份:
99年
排序:
0
題組內容
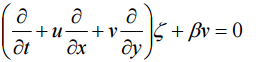
五、中緯度 β 平面上之正壓渦度方程可寫成:(20 分)
其中 u, v 分別為 x 向和 y 向風速, ζ 為垂直向渦度, β = df / dy 代表科氏參數隨緯度 變化趨勢。
申論題內容
⑵探討羅士培波相速(phase speed)和群速(group velocity)之傳播特徵。