阿摩線上測驗
登入
首頁
>
高考◆大氣動力學
>
101年 - 101年高等三級暨普通考高考三級_氣象#40044
> 申論題
題組內容
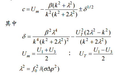
五、根據二層準地轉模式,設有 e
ik ( x − ct )
之波動解形式,可推導出斜壓波之相速(phase speed)為:
試問:(每小題 5 分,共 15 分)
⑵最不穩定斜壓波之波長為何?
相關申論題
⑴兩地間熱力風大小和方向為何?
#121797
⑵承上題,若此時伴隨冷平流現象,請畫出熱力風、1000hPa 地轉風、700hPa 地轉 風三者之向量關係。 【提示:科氏參數 f = 10 −1 s −1 ;重力常數 g = 9.8m s − 2 】
#121798
⑴說明等號右邊第二和第三項之物理意義。(10 分)
#121799
⑵以中緯度綜觀系統為例,利用尺度分析簡化渦度方程式。(5 分)
#121800
三、何謂「布辛尼克近似」(Boussinesq Approximation)? 透過此近似如何改寫大氣控 制方程式(包含:水平動量方程式、垂直動量方程式、熱力方程式、連續方程式)? (10 分)
#121801
⑴討論斜壓不穩定產生之條件。
#121803
⑶為何 β 效應有穩定長波之功能?
#121805
⑴利用小擾動法(perturbation method)推導 Kelvin 波之相速。
#121806
⑵寫出擾動重力位在 y 方向之函數關係。
#121807
⑶畫出 Kelvin 波之空間結構。
#121808
相關試卷
114年 - 114 公務升官等考試_薦任_氣象:大氣動力學#133182
114年 · #133182
114年 - 114 高等考試_三級_氣象:大氣動力學#128403
114年 · #128403
113年 - 113 高等考試_三級_氣象:大氣動力學#121506
113年 · #121506
112年 - 112 公務升官等考試_薦任_氣象:大氣動力學#117306
112年 · #117306
112年 - 112 高等考試_三級_氣象:大氣動力學#115412
112年 · #115412
111年 - 111 高等考試_二級_氣象:高等大氣動力學#110948
111年 · #110948
111年 - 111 高等考試_三級_氣象:大氣動力學#109426
111年 · #109426
110年 - 110 公務升官等考試_薦任_氣象:大氣動力學#103685
110年 · #103685
110年 - 110 高等考試_三級_氣象:大氣動力學#102397
110年 · #102397
109年 - 109 高等考試_三級_氣象:大氣動力學#88749
109年 · #88749