阿摩線上測驗
登入
首頁
>
公職 - 藥理學與藥物化學
>
101年 - 101 高等考試_三級_藥事:藥理學與藥物化學#45056
> 申論題
題組內容
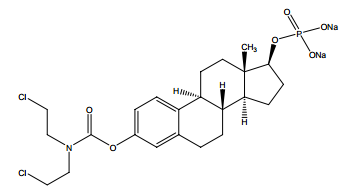
九、Estramustine phosphate sodium 結構式如下圖所示
⑵試述本藥之藥物設計原理。(3 分)
相關申論題
⑴ Agonist/Antagonist/Partial agonist/Inverse agonist (7 分)
#150482
⑵ Efficacy/Potency (3 分)
#150483
⑴ Gabapentin
#150484
⑵ MDMA
#150485
⑶ FM2
#150486
⑷ Sarin
#150487
⑸ RU486
#150488
三、試就安非他命的藥理作用,闡述其被管制的必要性,以及為何會被不法添加在減肥 藥中?(12 分)
#150489
四、試述 statin 類藥物(如 lovastatin)的臨床用途、藥理作用機制與臨床使用注意事項。 (8 分)
#150490
五、試就藥理學的觀點,解釋萊克多巴胺(ractopamine)是那一類藥物?以及為何被養 猪業用作瘦肉精?同類藥品在藥理學上可以分類,臨床上有何種用途?若屬未分類 的藥品,過量時可能造成何種器官的毒性?(10 分)
#150491
相關試卷
106年 - 106 關務特種考試_三等_藥事:藥理學與藥物化學#61456
106年 · #61456
105年 - 105 高等考試_三級_藥事:藥理學與藥物化學#54256
105年 · #54256
105年 - 105 關務特種考試_三等_藥事:藥理學與藥物化學#50114
105年 · #50114
104年 - 104 高等考試_三級_藥事:藥理學與藥物化學#42688
104年 · #42688
104年 - 104 公務升官等考試_簡任_藥事:藥理學與藥物化學研究#41961
104年 · #41961
104年 - 104 公務升官等考試_薦任_藥事:藥理學與藥物化學#41117
104年 · #41117
104年 - 104 關務特種考試_三等_藥事:藥理學與藥物化學#22674
104年 · #22674
103年 - 103 關務特種考試_三等_藥事:藥理學與藥物化學(重複)#44001
103年 · #44001
103年 - 103 高等考試_三級_藥事:藥理學與藥物化學#43442
103年 · #43442
103年 - 103 關務特種考試_三等_藥事:藥理學與藥物化學#15776
103年 · #15776