阿摩線上測驗
登入
首頁
>
公職 - 藥理學與藥物化學
>
104年 - 104 公務升官等考試_薦任_藥事:藥理學與藥物化學#41117
> 申論題
題組內容
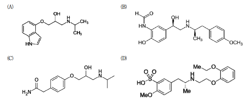
九、一位 60 歲男性有高血壓與氣喘病史,最近診斷發現有前列腺肥大,其藥歷包括下列 藥物,結構如下(A)(B)(C)(D): (每小題 2 分,共 8 分)
⑶說明何者最易引發或惡化氣喘?
相關申論題
⑵以化學反應步驟描述此藥物與作用標的進行之抑制作用。
#127232
⑶說明此結構主要的活性功能基團為何?
#127233
⑷說明此功能基團具有活性的理由為何?
#127234
⑸說明此藥物結構因擬似何種結構,因此可抑制標的酵素?
#127235
⑴說明此藥物之活性過程與活化態。 分) (8
#127236
⑵說明此藥物之作用機制。 分) (4
#127237
⑴以電子流向箭頭指出 glutathione 與毒性代謝物的反應行徑。 分) (4
#127238
⑵畫出其兩種產物。 分) (8
#127239
⑶說明何種酵素最容易催化此氧化反應?(3 分)
#127240
⑴說明何者具有選擇性作用在 beta-2 受體?
#127241
相關試卷
106年 - 106 關務特種考試_三等_藥事:藥理學與藥物化學#61456
106年 · #61456
105年 - 105 高等考試_三級_藥事:藥理學與藥物化學#54256
105年 · #54256
105年 - 105 關務特種考試_三等_藥事:藥理學與藥物化學#50114
105年 · #50114
104年 - 104 高等考試_三級_藥事:藥理學與藥物化學#42688
104年 · #42688
104年 - 104 公務升官等考試_簡任_藥事:藥理學與藥物化學研究#41961
104年 · #41961
104年 - 104 公務升官等考試_薦任_藥事:藥理學與藥物化學#41117
104年 · #41117
104年 - 104 關務特種考試_三等_藥事:藥理學與藥物化學#22674
104年 · #22674
103年 - 103 關務特種考試_三等_藥事:藥理學與藥物化學(重複)#44001
103年 · #44001
103年 - 103 高等考試_三級_藥事:藥理學與藥物化學#43442
103年 · #43442
103年 - 103 關務特種考試_三等_藥事:藥理學與藥物化學#15776
103年 · #15776