題組內容
一、請回答下列問題:(每小題 8 分,共 40 分)
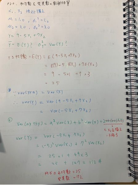
⑷隨機變數 X 1 、 X 2 彼此獨立,其平均數及變異數分別為 μ 1 = 1.0 、 σ 12 = 1.0 、 μ 2 = 3.0 與 σ 22 = 3.0 ,令 Y = 9 − 5 X 1 + 7 X 2 ,試問隨機變數 Y 之平均數與變異數各 為何?
詳解 (共 1 筆)
詳解
