阿摩線上測驗
登入
首頁
>
藥理學與藥物化學
>
108年 - 108 關務特種考試_三等_藥事:藥理學與藥物化學#75750
> 申論題
題組內容
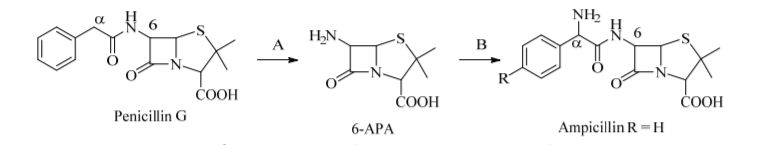
五、經由半合成方法可以將 Penicillin G 轉變成 Ampicillin 及 Amoxicillin 等藥 物,其半合成方法如下:(每小題 4 分,共 20 分)
⑸ Amoxicillin 結構中 R 為何種取代基?由於 Amoxicillin 易被 β-lactamase 水解破壞,說明在臨床應用方面如何克服。
相關申論題
⑴ Celecoxib
#305670
⑵ Montelukast
#305671
⑶ Ticlopidine
#305672
⑷ Nitroglycerin
#305673
⑸ Itraconazole
#305674
⑹ Salbutamol
#305675
⑴說明神經傳導物質(neurotransmitter)作用在 M1、M2 及 M3 等受體時, 分別會刺激或抑制那些第二信差(second messengers)的產生?
#305676
⑵說明這些第二信差分別會調控那些酶或離子?
#305677
⑶分別說明 M1、M2 及 M3 等受體主要分布在那些組織或器官?
#305678
⑷當神經傳導媒體作用在 M1、M2 及 M3 等受體時,分別會產生那些主 要的生理反應?
#305679
相關試卷
114年 - 114 高等考試_三級_藥事:藥理學與藥物化學#128497
114年 · #128497
114年 - 114 關務特種考試_三等_藥事(選試英文):藥理學與藥物化學#126560
114年 · #126560
113年 - 113 高等考試_三級_藥事:藥理學與藥物化學#121257
113年 · #121257
113年 - 113 關務特種考試_三等_藥事(選試英文):藥理學與藥物化學#119458
113年 · #119458
112年 - 112 公務升官等考試_薦任_藥事:藥理學與藥物化學#117130
112年 · #117130
112年 - 112 高等考試_三級_藥事:藥理學與藥物化學#115547
112年 · #115547
112年 - 112 關務特種考試_三等_藥事:藥理學與藥物化學#113877
112年 · #113877
111年 - 111 高等考試_三級_藥事:藥理學與藥物化學#109661
111年 · #109661
111年 - 111 關務特種考試_三等_藥事:藥理學與藥物化學#107544
111年 · #107544
111年 - 111-1 專技高考_藥師(一):藥理學與藥物化學#106203
111年 · #106203