阿摩線上測驗
登入
首頁
>
研究所、轉學考(插大)◆統計學
>
108年 - 109東吳大學_碩士班招生考試_巨量資料管理學院碩士學位學程:統計學#101144
> 申論題
題組內容
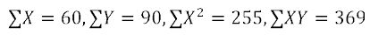
3.某公司為了研究產品廣告費( X,單位:百萬元)與銷售額( Y,單位:百萬元)的關 係,搜集 15 間子公司的資料,調查結果如下:
(A) 迴歸方程式為 =
(9)
X +
(10)
。
10
相關申論題
1
#423953
2
#423954
3
#423955
4
#423956
(A) 日文、德文及法文中,至少懂一門語言。 (5)
#423957
(B) 僅會法語。 (6)
#423958
(C) 已知此選中的員工會法語,而他三門語言皆會的機率。 (7)
#423959
(D) 已知此選中的員工會日文、德語及法語中至少一門語言,而他懂日文的機率。 (8)
#423960
9
#423961
3.某公司為了研究產品廣告費( X,單位:百萬元)與銷售額( Y,單位:百萬元)的關 係,搜集 15 間子公司的資料,調查結果如下: (B) X和Y的關係為 (11) (請填正相關、負相關或無線性相關)。
#423963
相關試卷
113年 - 113 國立臺灣大學_碩士班招生考試:工程統計#119664
113年 · #119664
112年 - 112 國立臺灣大學_碩士班招生考試試題:工程統計#119662
112年 · #119662
111年 - 111 國立臺灣科技大學_碩士班招生試題:統計學(C)#120895
111年 · #120895
110年 - 110 國立陽明交通大學_碩士班考試入學試題:統計學#121574
110年 · #121574
110年 - 110 國立臺灣科技大學_碩士班招生試題_企業管理系:統計學#111322
110年 · #111322
110年 - 110 國立臺灣大學_碩士班招生考試_部分系所:統計學(H)#111297
110年 · #111297
110年 - 110 國立政治大學_碩士班暨碩士在職專班招生考試_財政所:統計學#110890
110年 · #110890
110年 - 110 國立高雄科技大學_碩士班招生考試_工業工程與管理系:統計學#110420
110年 · #110420
110年 - 110 國立政治大學_碩士班招生考試_財政研究所:統計學#107983
110年 · #107983
110年 - 110 國立政治大學_碩士班招生考試_ 國際經營與貿易學系:統計學#106074
110年 · #106074