題組內容
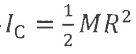
十二、 已知半徑為R、質量為M的均勻圆盤,如圖10所示,繞園盤質量中心C點的轉動慣量為
,而在距離圓心d之D點為轉軸的轉動慣量為
Md2,此轉動慣量的關係式稱之為平行軸定理。當圓盤以D點鉛直懸吊,其小角度振盪的週期為:
,其中g為重力加速度。當此圆盤被裁去
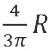
而形成一個半圓,如圖11所示 已知C1為質量中心,其和C之間的距離為
,則燒C1 點的轉動慣量
等於 (18) 。沿著C和C1連線上的某一點,以小角度振通的週期T為
,其中I為該點轉動慣量,且x為與C1的距離,則當T為最小值時,x= (19) (以
、M、R和g表示之。
【提示】:微分公式


18