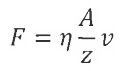
十八、 液體具有黏滯性,通常以黏滯係數η表示液體黏稠的程度。在某一平整表面上塗布一層厚度均勻為z的液體,再平放一面積為A之小平板於平整表面上當施一外力F於小平板,且平行於平整表面時(如圖15所示),小平板相對於平整表面的移動速度U與施力F、液體黏滞係數 n、厚度z和接觸面積A的關係式為

今於兩鉛直架設之載玻片間涂布一層厚度均勻z之洗碗 精,如圖16所示。開始時,兩載玻片上下左右對齊,將左邊的載玻片固定住,使右邊的載玻片由靜止開始向下滑 動,且下滑過程中的洗碗精厚度維持不變。實验中得到右 邊的載玻片完全滑離左邊的載玻片時,其所需要的時間為 17.00秒則兩載玻片之間所涂布洗碗精的厚度Z= (27) um(以微米為單位);(b)右邊的載玻片由靜止下滑至載玻 片長度的一半時,所需要的時间在
= (28)
備註:相關數值
1.載玻片之長度為7.60X
,寬度為2.60X
,厚度為0.80X
:且載玻片之密度為2.50X103kg/m3
2.洗碗精的黏滯係數為0.83kg/m.s
3.重力加速度量值為9=9.80m/s2。
【提示】:積分公式
,當n≠一1。

