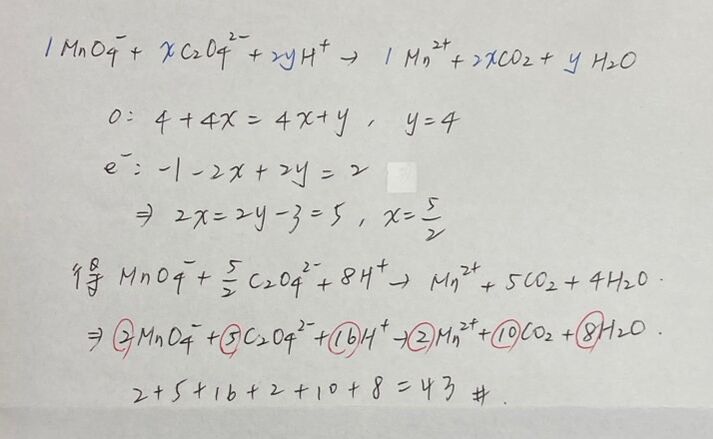
18.請平衡下列化學方程式 a MnO4- + b C2O42- + c H+ → d Mn2+ + e CO2 + f H2O,平衡後 a~f 為最 小整數,則 a + b + c + d + e + f =______。
詳解 (共 4 筆)
詳解
先令過錳酸鹽係數為1
以C為基準,係數令為x
以H為基準,係數令為y
以O、e-求得x、y之值,再化簡反應式

詳解
a=d........................................
詳解
2+5+16+2+10+8=43
詳解
2+5+16+2+10+8 = 43